Parameterized Verification 1.2 -- Synchronization Primitives of Processes
This is a learning note of a course in CISPA, UdS. Taught by Swen Jacobs
Last post: Labeled Transition Systems
Processes
A Process is an LTS $P = (Q, Q_0, \Sigma, \delta, \lambda)$ with $\Sigma = \Sigma_{int} \cup \lbrace out_a , in_a \mid a \in \Sigma_{sync} \rbrace $, where
- $\Sigma_{int}$ is a set of
internalactions, - $\Sigma_{sync}$ a set of
synchronizingactions, - $out_a$ is an
sendaction (orinitiateaction), - $in_a$ is an
receiveaction.
Composition by Synchronization
The composition $P^n$ of $n$ (uniform) processes wrt. $card$ is the LTS $(S, S_0, \Sigma_{int} \cup \Sigma_{sync}, \Delta, \Lambda)$ with:
$S = Q \times Q$
$S_0 = Q_0 \times Q_0$
$\Delta \subseteq S \times (\Delta_{int} \cup \Delta_{sync} \times S)$ is the set of all transitions that satisfy one of the following:
Internal Transition:
- For some $i \in\lbrace 1, … , n \rbrace$ , $(s, a, s’) \in S \times\Sigma_{int}\times S$ is an element such that:
$(s(i), a, s’(i)) \in\delta$ , and $s(j) = s’(j)$ for $i \ne j \in\lbrace 1, …, n \rbrace$
Process $s(i)$ take the action, other processes $s(j)$ remain their current states.
Synchronous Transition
For some $i \in \lbrace 1, … , n \rbrace$ and some $I \subseteq \lbrace 1, …, n \rbrace \setminus \lbrace i \rbrace$ with $|I| \in card$ ,
$(s, a, s’) \in S \times \Sigma_{int} \times S$ is an element such that:- $s(i) \buildrel out_a \over\longrightarrow s’(i)$ is (a local transition) in $P$
One process $s(i)$ take the
sendaction. - for every $j \in I, s(j) \buildrel in_a \over\longrightarrow s’(j)$ is (a local transition) in $P$
$I$ is the set of processes that can take the
receiveaction. (size of $I$ must not be larger then $card$) - for every $j \in\lbrace 1, …, n \rbrace \setminus (I \cup\lbrace i \rbrace), s’(j) = s(j)$
Other processes $s(j)$ that cannot take
receiveactions remain their current states. - $I$ is maximal.
There does not exist a larger set $I’ \supset I$ with $|I’| \in card$ that for all $j \in I’$ ,
there is a local transition from $s(j)$ that can take thereceiveaction.
- $s(i) \buildrel out_a \over\longrightarrow s’(i)$ is (a local transition) in $P$
- For some $i \in\lbrace 1, … , n \rbrace$ , $(s, a, s’) \in S \times\Sigma_{int}\times S$ is an element such that:
$\Lambda(s) = \lbrace p_{i} \mid p \in \text{AP and p} \in\lambda(s(i)), i \in \lbrace 1, …, n\rbrace \rbrace$
In this course, send action = $out_a$ = $a!!$ ; receive action = $in_a$ = $a??$.
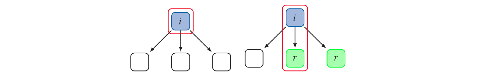
Example of Composition by Broadcast synchronization. $(card = \lbrace 1 \rbrace)$

Synchronization Primitives
In this course, there are 4 types of synchronization:Pairwise Rendezvous, Broadcast, Asynchronous Rendezvous, and Lossy Broadcast.
Pairwise Rendezvous
Exactly ONE process take $out_a$ action, ONE process take $in_a$ action. $(card = \lbrace 1 \rbrace)$

Broadcast
ONE process take $out_a$ action, ALL process take $in_a$ action if they are able to $(card = \mathbb{N}_0)$.

Asynchronous Rendezvous
ONE process take $out_a$ action, ZERO / ONE process take $in_a$ action $(card = {0, 1})$.

Lossy Broadcast
ONE process take $out_a$ action, ONE process take $in_a$ action $(card = \mathbb{N}_0, I\text{ not necessarily maximal})$.

Further Reading: Synchronization, Parameterized Verification by Javier Esparza.
Parameterized Verification 1.2 -- Synchronization Primitives of Processes